v\:* {behavior:url(#default#VML);}
o\:* {behavior:url(#default#VML);}
w\:* {behavior:url(#default#VML);}
.shape {behavior:url(#default#VML);}
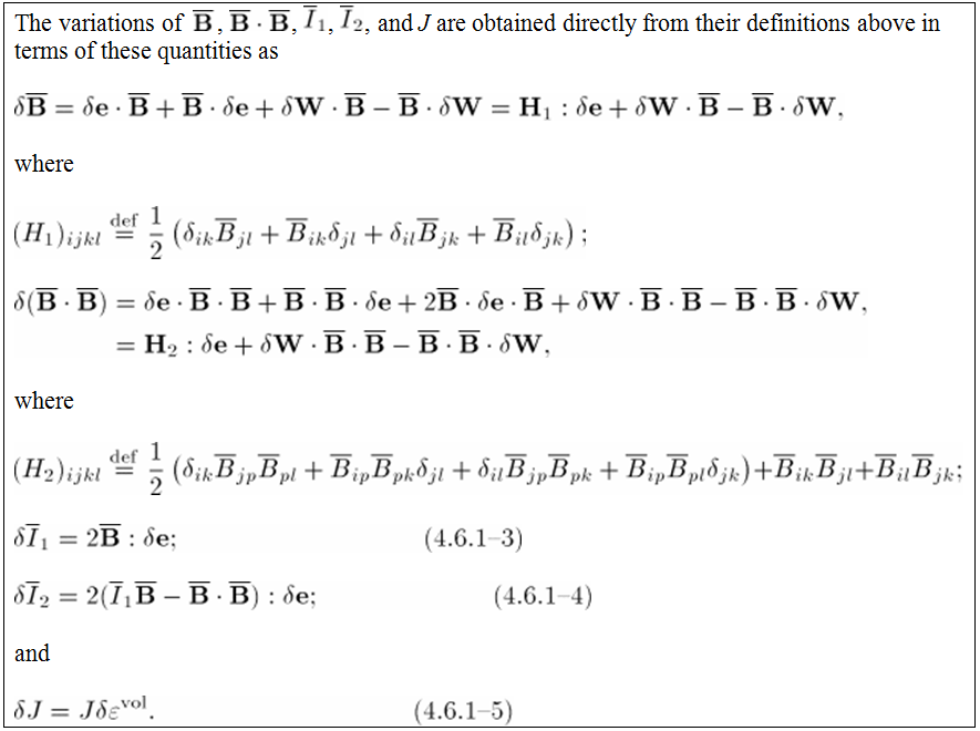
Hi, I am trying to implement hyperelastic constitutive model in
Abaqus using UMAT subroutine. I have gone through the theory manual (section
4.6.1) of Abaqus 6.12. I am finding it difficult to understand few steps (see attchment),
mainly related to the calculation of DDSDDE. How do we calculate variations of
different strain measures? I am looking forward to your suggestions regarding
any study material that will help me understand this.
Thanks
Priyank
Normal
0
false
false
false
false
EN-US
X-NONE
X-NONE
/* Style Definitions */
table.MsoNormalTable
{mso-style-name:"Table Normal";
mso-tstyle-rowband-size:0;
mso-tstyle-colband-size:0;
mso-style-noshow:yes;
mso-style-priority:99;
mso-style-parent:"";
mso-padding-alt:0in 5.4pt 0in 5.4pt;
mso-para-margin-top:0in;
mso-para-margin-right:0in;
mso-para-margin-bottom:10.0pt;
mso-para-margin-left:0in;
line-height:115%;
mso-pagination:widow-orphan;
font-size:11.0pt;
font-family:"Calibri","sans-serif";
mso-ascii-font-family:Calibri;
mso-ascii-theme-font:minor-latin;
mso-hansi-font-family:Calibri;
mso-hansi-theme-font:minor-latin;}
| Attachment | Size |
|---|---|
| Bbar.png | 109.78 KB |
Could you tell me which
Could you tell me which version of Fortran you install, fortran 10 or 11. thanks
In reply to Could you tell me which by Hua Wang
I am using fortran 11.1. I
I am using fortran 11.1. I have it working through VUMAT and UHYPER but I just want to know how to do DDSDDE calculations.