Hi,
I has written a subroutine for the 'probabilistic damage model for the dynamic fragmentation in brittle materials,hild,advances in applied mechanics,2010'..The procedure I followed in UMAT subroutine is as follows:
1.I calculate the principal stresses.
2.Randomly generate a failure stress according to equation(84) in 2010 paper.
3.For each principal stress I calculate the modified defect growth density given in equation(83) in 2010 paper.
4. Corresponding to each principal stress a damage value is found according to the conditions given in equation(81) in 2010 paper(NOTE:Anisotropic damage model is used in three orthogonal directions D1,D2,D3 )
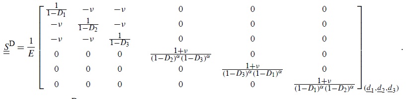
5.I update the damage tensor/compliance tensor using (33)(JPEG file is attached)as provided in multi-scale model paper(2002).
6.I update the stress and repeat the steps:1-6.
NOTE:1.The material is isotropic elastic needs only E,poisson's ratio,material parameters.The other material parameters like weibull parameters are also given. Refer the papers provided for clarification.
2.I am dealing with Impact problems so I need VUMAT
I have a doubt in VUMAT if I calculate compliance tensor(as show in attached file) at each step and inverse it to obtain the constitutive tensor and then multiply with strainInc to obtain stress increment.I will not update Jacobian.Can I do this in VUMAT to calculate stressNew?.Is my subroutine right?.Please check the VUMAT.txt file.Am I updating the stress correctly?
| Attachment | Size |
|---|---|
| Compliiance tensor.jpg | 27.1 KB |
| subroutine | 9.67 KB |
ABAQUS mailing list
One does not need to upate the Jacobian in VUMAT.
For you other questions:
I recommend you become a member of the ABAQUS mailing list
https://groups.yahoo.com/group/ABAQUS
how to update stress in VUMAT
To
Frank Richter,
then how to update stress?.Could you please explain with an example