Dear all,
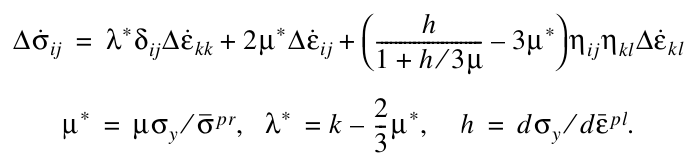
I need to understand the basic derivation of isotropic hardening model under cyclic loading. I am only having the end result for this model which I have taken from the abaqus manual. The end result is as shown in the attached file.
I want to implemet this model in abaqus using umat. Please help me in understanding the detailed derivation of this model which is valid under cyclic loading. You can help me by providing necessary web links, sharing your notes or by suggesting relavant books
Thanks in advance
Rajwinder Singh
| Attachment | Size |
|---|---|
| End result equation | 16.1 KB |
user subroutines
get the file
http://imechanica.org/files/Writing User Subroutines with ABAQUS.pdf
In reply to user subroutines by Frank Richter
when in am opening this link
when in am opening this link a message appears "page not found". If possible please mail me this file at rajwinder.singh [at] iitrpr.ac.in.
Thanks In advance
Rajwinder Singh
In reply to user subroutines by Frank Richter
Now I am able to open this
Now I am able to open this file. The isotropic hardening formulation and umat code are available in this file. But the problem is I want to understand the detailed derivation of this formulation. Please have a look if you can help or suggest me some relevant book.
With warm regards
RAjwinder Singh
hardening
Look up
COMPUTATIONAL METHODS FOR PLASTICITY
THEORY AND APPLICATIONS
authors:
EA de Souza Neto
D Peric
DRJ Owen
Isotropic hardening is covered in this book , though I did not find that equation in exactly this form when browsing the book
Good luck
Frank